de
en
Schliessen
Detailsuche
Bibliotheken
Projekt
Impressum
Datenschutz
Detailsuche
Schnellsuche:
OK
Ergebnisliste
Titel
Titel
Inhalt
Inhalt
Seite
Seite
Im Dokument suchen
Analyse der asymptotischen Stabilität nichtlinearer Systeme mit Hilfe des Satzes[...]
3 Robuste positive Definitheit von Polynomen mit unsicheren Parametern
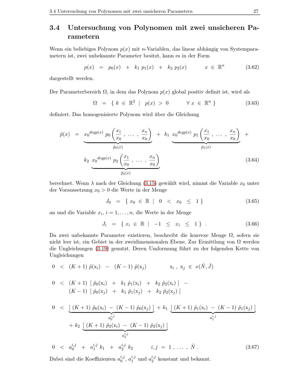
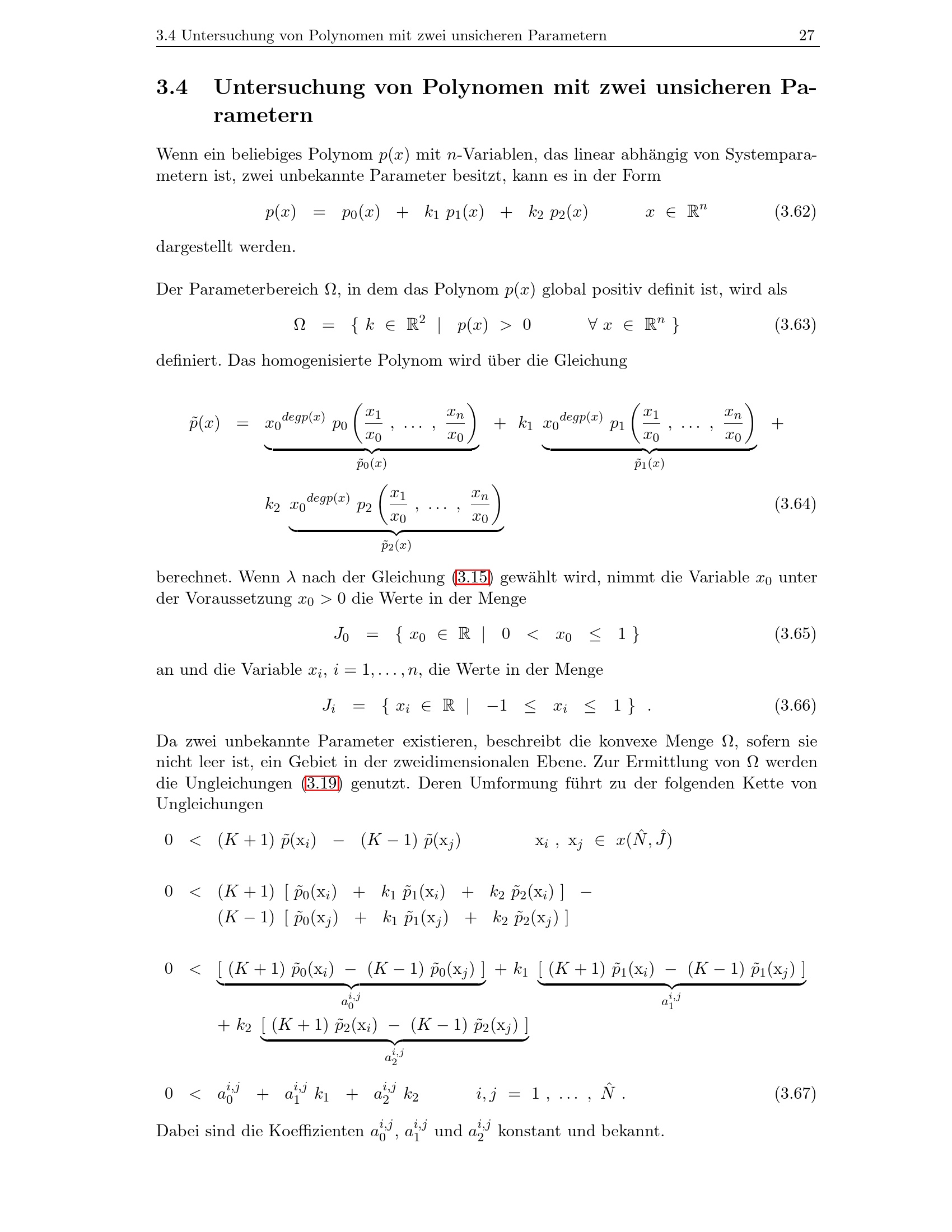
3.4 Untersuchung von Polynomen mit zwei unsicheren Parametern
1 Einleitung
1.1 Motivation
1.2 Zielsetzung und Konzept
2 Mathematische Grundlagen
2.1 Satz von Ehlich und Zeller
2.2 Gärtels Ungleichungen
2.3 Beispiele
3 Robuste positive Definitheit von Polynomen mit unsicheren Parametern
3.1 Einleitung
3.2 Numerische Berechnungsmethode
3.3 Untersuchung von Polynomen mit einem unsicheren Parameter
3.4 Untersuchung von Polynomen mit zwei unsicheren Parametern
3.5 Untersuchung von Polynomen mit mehreren unsicheren Parametern
3.6 Bestimmung des Parameterbereiches als Hyperkubus
4 Asymptotische Stabilität nichtlinearer Systeme
4.1 Definition der Stabilität
4.2 Asymptotische Stabilität nach dem Satz von Ljapunow
4.3 Einzugsbereich und gesicherter Einzugsbereich
5 Berechnung gesicherter Einzugsbereiche für polynominale Systeme
5.1 Einleitung
5.2 Numerische Berechnungsmethode eines gesicherten Einzugsbereiches
5.3 Gesicherter Einzugsbereich für polynominale Systeme in einer speziellen Form
6 Zusammenfassung und Ausblick
Literaturverzeichnis
Dissertation
Analyse der asymptotischen Stabilität nichtlinearer Systeme mit Hilfe des Satzes von Ehlich und Zeller / von Kamil Fatih Dilaver
Entstehung
2008
JPEG-Download
verfügbare Breiten
JPEG groß
JPEG original
Seiten an
Seiten aus