de
en
Schliessen
Detailsuche
Bibliotheken
Projekt
Impressum
Datenschutz
Detailsuche
Schnellsuche:
OK
Ergebnisliste
Titel
Titel
Inhalt
Inhalt
Seite
Seite
Im Dokument suchen
Entwicklung von Detektionssystemen für die HPLC-Bestimmung von Lipidhydroperoxid[...]
6 Anhang
6.9 Bestimmung oxidierter Pflanzenöle
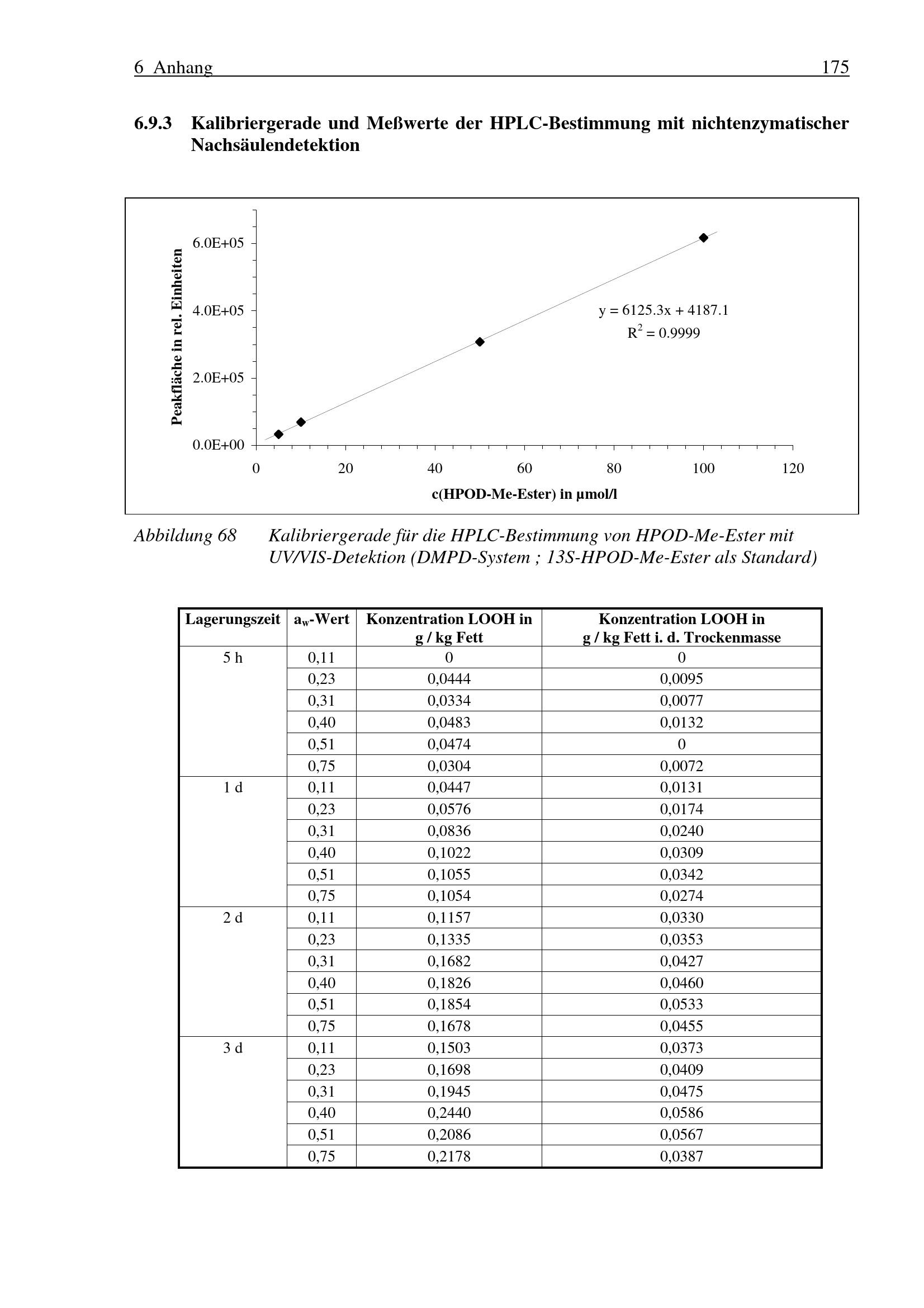
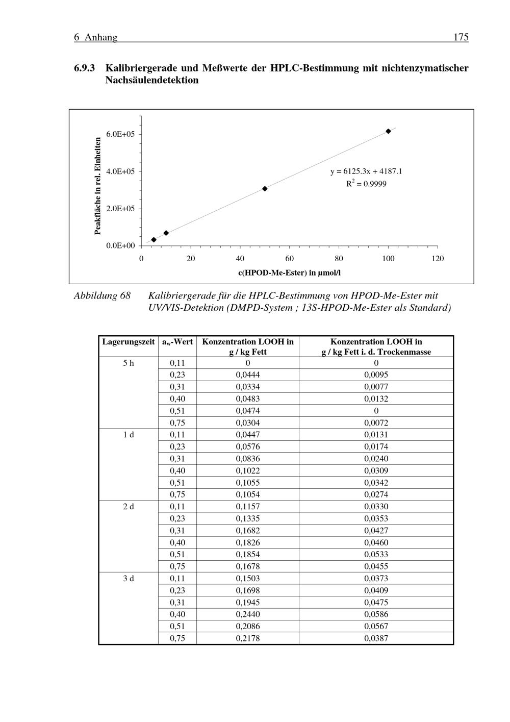
6.9.3 Kalibriergerade und Meßwerte der HPLC-Bestimmung mit nichtenzymatischer
Wird geladen ...
Dissertation
Entwicklung von Detektionssystemen für die HPLC-Bestimmung von Lipidhydroperoxiden / von Klaus Heitkamp
Entstehung
1999
JPEG-Download
verfügbare Breiten
JPEG groß
JPEG original
Seiten an
Seiten aus