de
en
Schliessen
Detailsuche
Bibliotheken
Projekt
Impressum
Datenschutz
Detailsuche
Schnellsuche:
OK
Ergebnisliste
Titel
Titel
Inhalt
Inhalt
Seite
Seite
Im Dokument suchen
Auswirkungen der Energiewende auf die Zuverlässigkeit von Nieder- und Mittelspan[...]
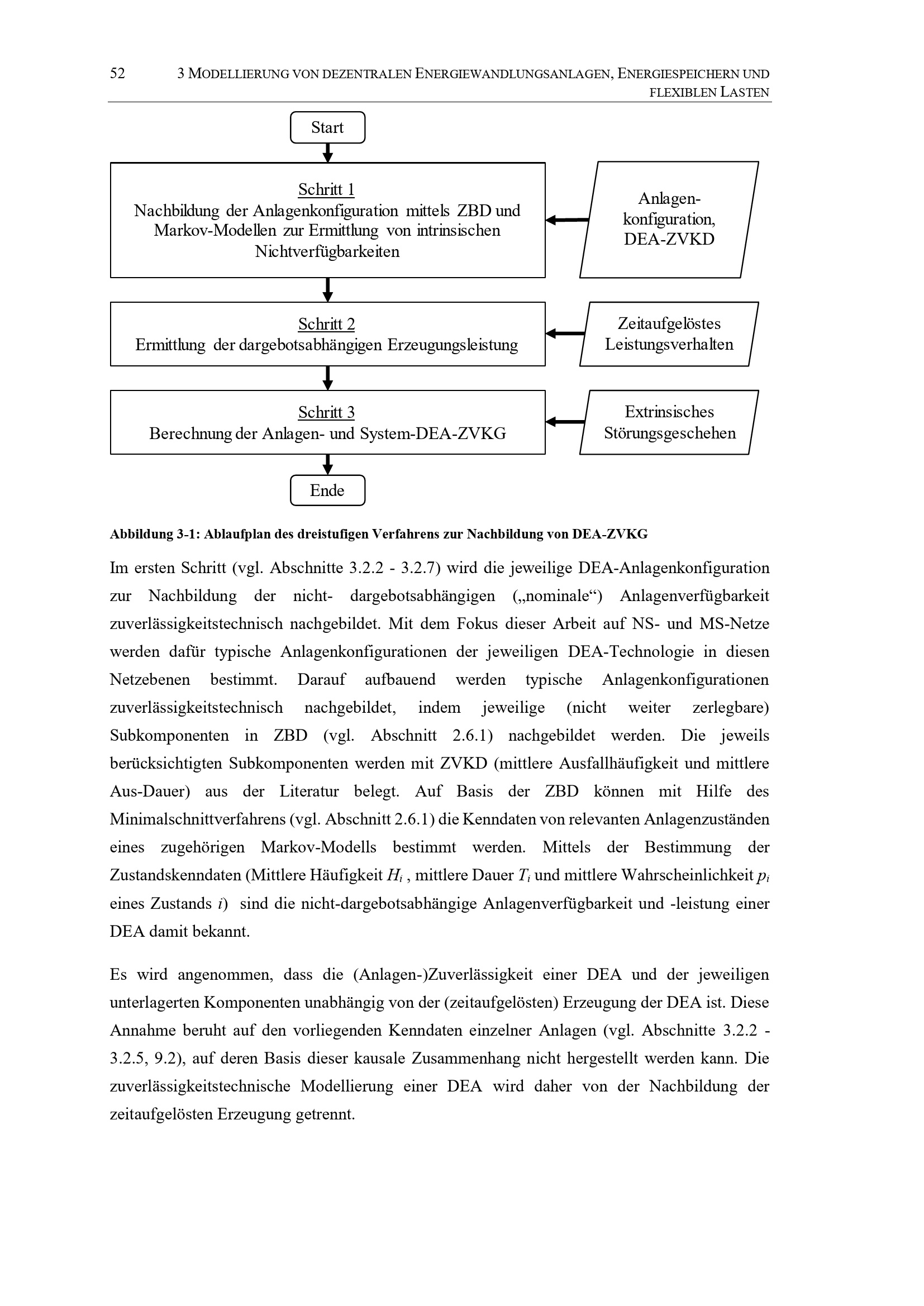
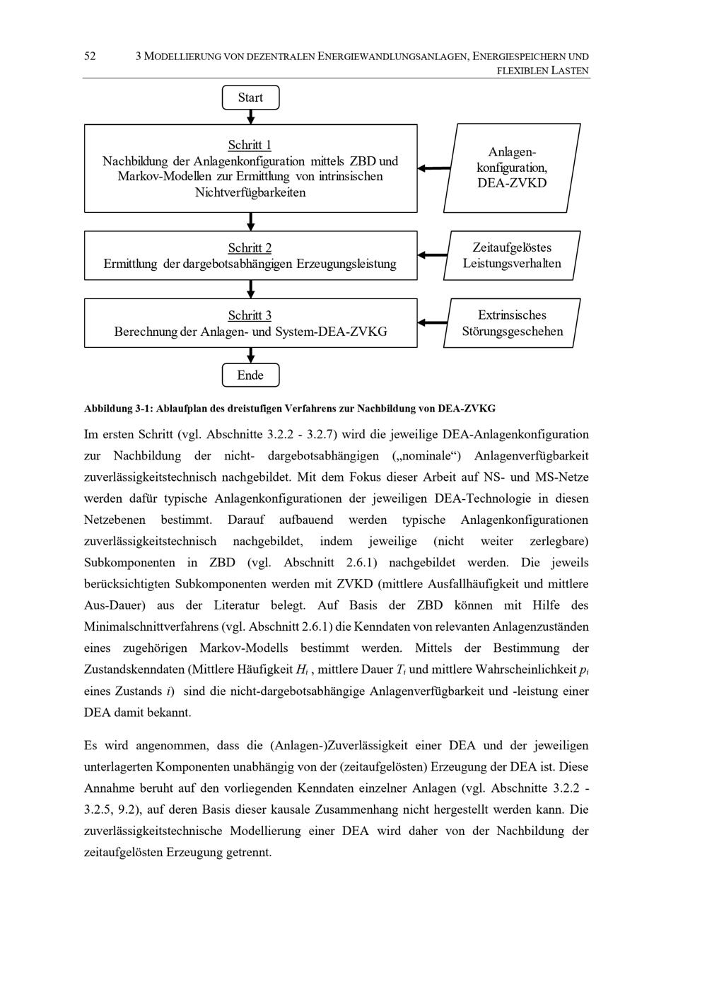
3 Modellierung von dezentralen Energiewandlungsanlagen, Energiespeichern und flexiblen[...]
3.2 Modellierung von dezentralen Energiewandlungsanlagen
3.2.1 Verfahren und analysierte Technologien
Wird geladen ...
Dissertation
Auswirkungen der Energiewende auf die Zuverlässigkeit von Nieder- und Mittelspannungsnetzen / von Fabian Möhrke, M. Sc.
Entstehung
Wuppertal
[2021]
JPEG-Download
verfügbare Breiten
JPEG groß
JPEG original
Seiten an
Seiten aus