de
en
Schliessen
Detailsuche
Bibliotheken
Projekt
Impressum
Datenschutz
Detailsuche
Schnellsuche:
OK
Ergebnisliste
Titel
Titel
Inhalt
Inhalt
Seite
Seite
Im Dokument suchen
Verfahren der digitalen Kompensation von Unsymmetrien der analogen Quadraturmischung[...]
6 Digitale IQ-Fehlerkompensation durch Frequenzbereichsentzerrung
ohne IQ-Fehlerkompensation
Koeffizienten-Adaption
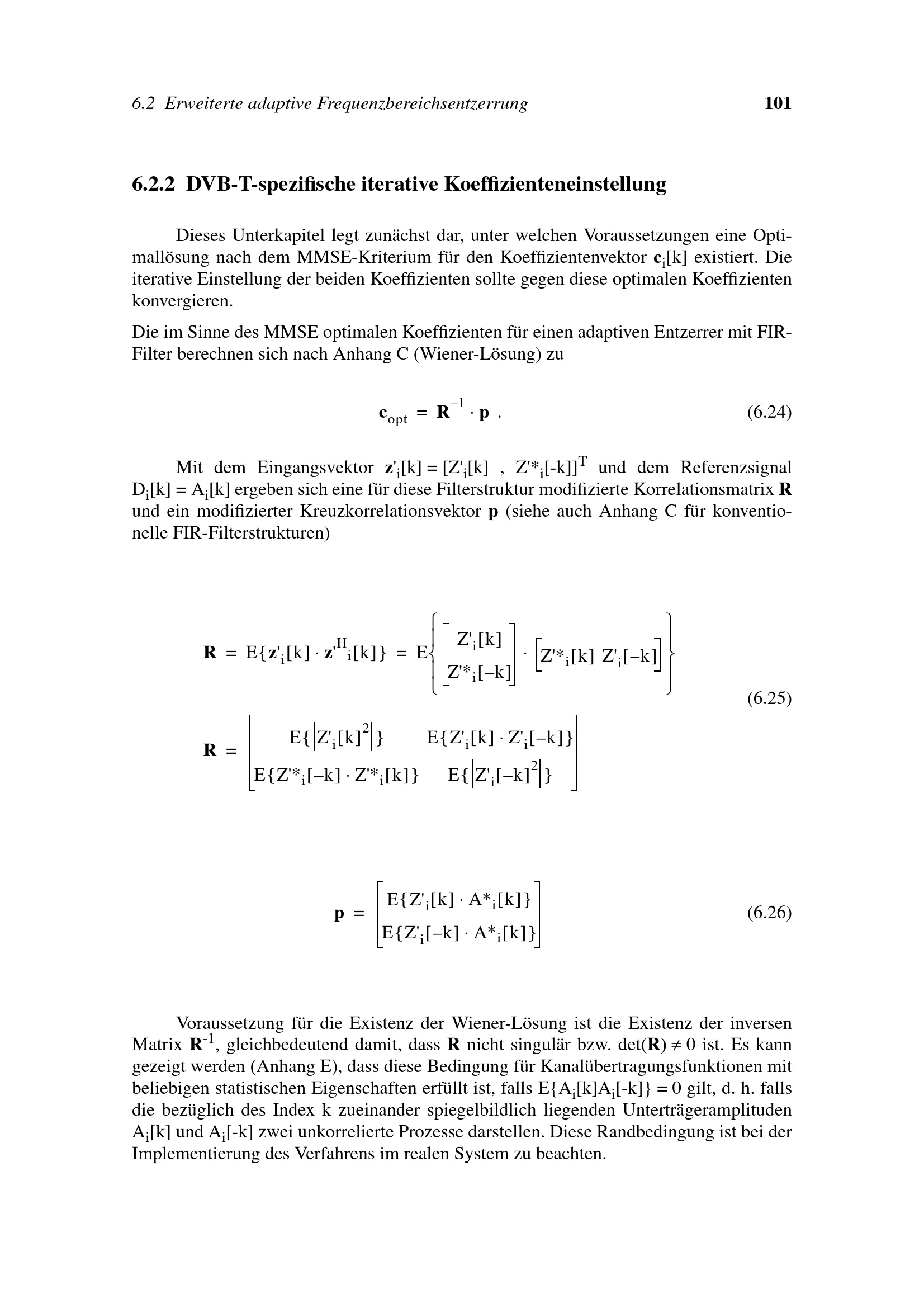
6.2.2 DVB-T-spezifische iterative Koeffizienteneinstellung
. (6.24)
Wird geladen ...
Dissertation
Verfahren der digitalen Kompensation von Unsymmetrien der analogen Quadraturmischung in OFDM-Empfängern / Andreas Schuchert
Entstehung
2001
JPEG-Download
verfügbare Breiten
JPEG groß
JPEG original
Seiten an
Seiten aus