de
en
Schliessen
Detailsuche
Bibliotheken
Projekt
Impressum
Datenschutz
Detailsuche
Schnellsuche:
OK
Ergebnisliste
Titel
Titel
Inhalt
Inhalt
Seite
Seite
Im Dokument suchen
On Chow rings of fine quiver moduli and modules over the cohomological Hall alge[...]
Chow Rings of Non-Commutative Hilbert Schemes
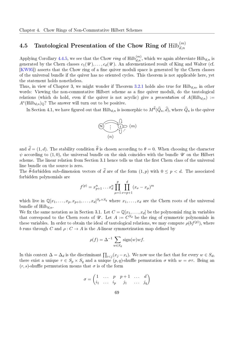
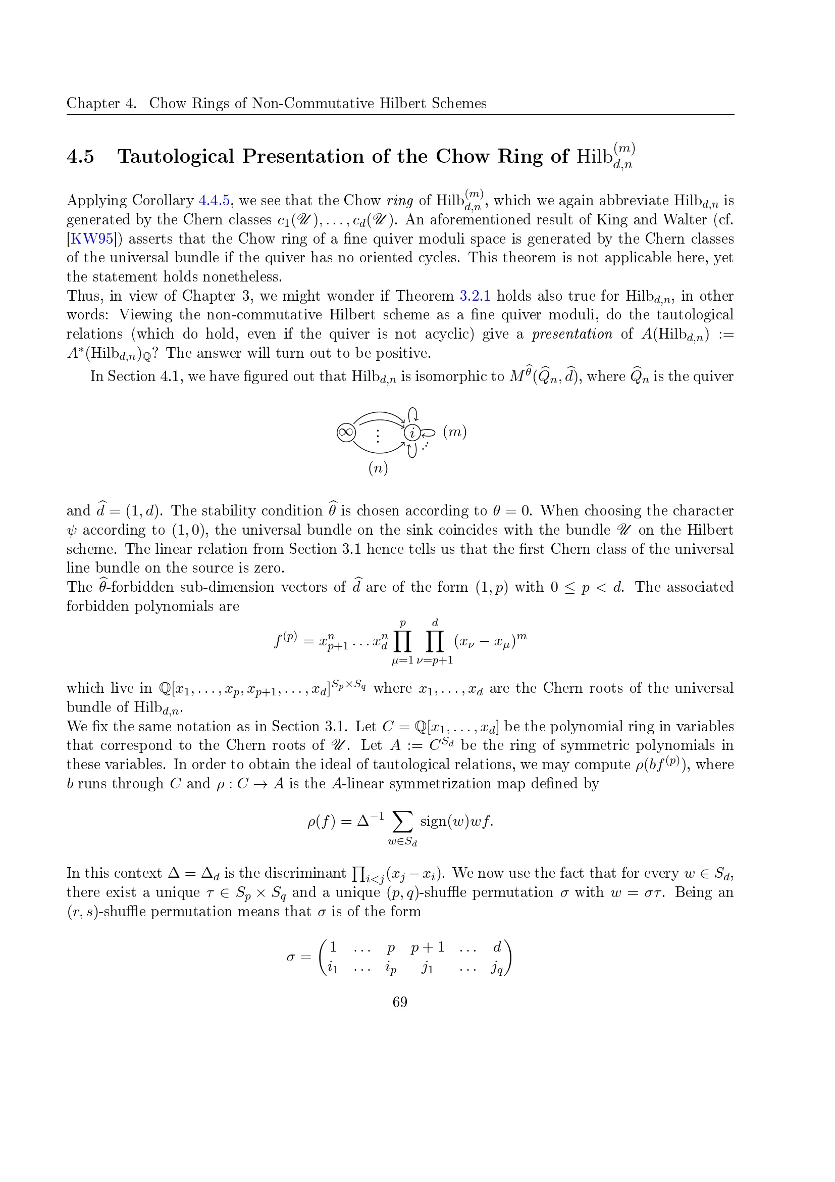
Tautological Presentation of the Chow Ring of `39`42`"613A``45`47`"603AHilbd,n(m[...]
Moduli Spaces of Quiver Representations
Representations of Quivers
Fine and Coarse Moduli Spaces
Quiver Moduli as GIT-Quotients
Intersection Theory and Equivariant Intersection Theory
The Chow Group
Gysin Maps and the Chow Ring
Chern Classes and Localized Chern Classes
Equivariant Intersection Theory
The Chow Ring of a Fine Projective Quiver Moduli is Tautologically Presented
Tautological Generators for the Chow Ring of M(Q,d) and Relations Between them
The Chow Ring of M(Q,d) is Tautologically Presented
Examples
Chow Rings of Non-Commutative Hilbert Schemes
Non-Commutative Hilbert Schemes of a Loop Quiver
Words and Forests
A Cell Decomposition
Another Basis of the Chow Group
Tautological Presentation of the Chow Ring of `39`42`"613A``45`47`"603AHilbd,n(m)
Modules over the Cohomological Hall Algebra
The Cohomological Hall Algebra of a Quiver
Cohomology of Non-Commutative Hilbert Schemes as a Module over the CoHa
The Case of the m-Loop Quiver
Dissertation
On Chow rings of fine quiver moduli and modules over the cohomological Hall algebra / vorgelegt von Hans Franzen
Entstehung
2014
JPEG-Download
verfügbare Breiten
JPEG groß
JPEG original
Seiten an
Seiten aus