de
en
Schliessen
Detailsuche
Bibliotheken
Projekt
Impressum
Datenschutz
Detailsuche
Schnellsuche:
OK
Ergebnisliste
Titel
Titel
Inhalt
Inhalt
Seite
Seite
Im Dokument suchen
Methoden für die Bemessung der Leistungsfähigkeit multidirektional genutzter Fuß[...]
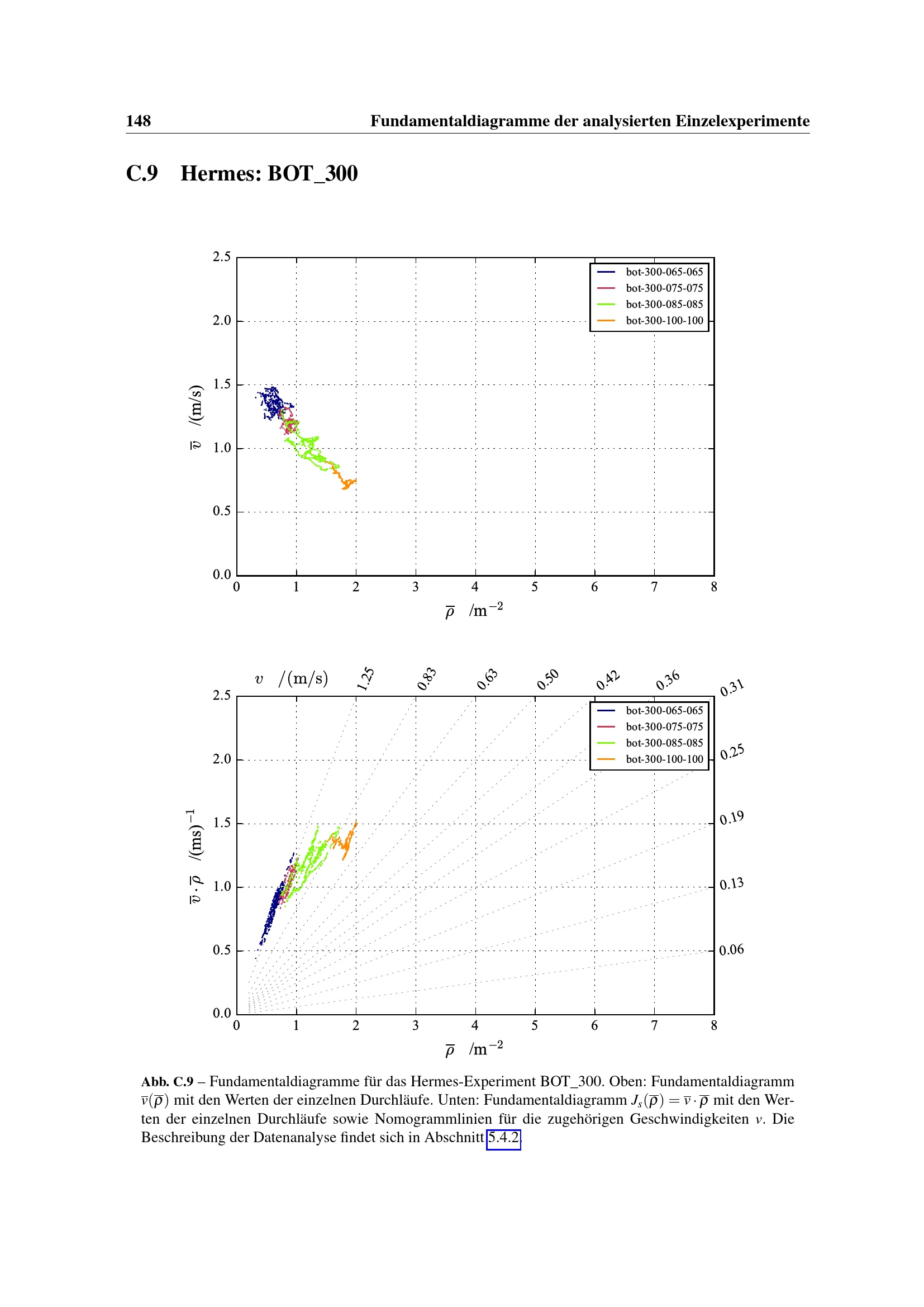
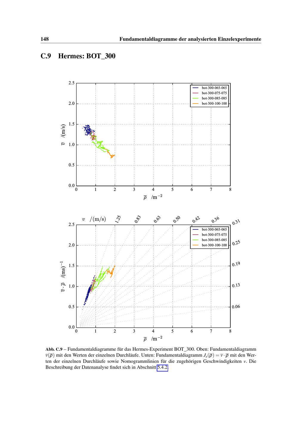
Fundamentaldiagramme der analysierten Einzelexperimente
Hermes: BOT_300
Wird geladen ...
Dissertation
Methoden für die Bemessung der Leistungsfähigkeit multidirektional genutzter Fußverkehrsanlagen / vorgelegt von Stefan Holl aus Fulda
Entstehung
Wuppertal
2016
JPEG-Download
verfügbare Breiten
JPEG groß
JPEG original
Seiten an
Seiten aus