de
en
Schliessen
Detailsuche
Bibliotheken
Projekt
Impressum
Datenschutz
Detailsuche
Schnellsuche:
OK
Ergebnisliste
Titel
Titel
Inhalt
Inhalt
Seite
Seite
Im Dokument suchen
Beitrag zur dynamischen Fehlerbaumanalyse ohne Modulbildung und zustandsbasierte[...]
5 Quantifizierung des TFTA Ansatzes
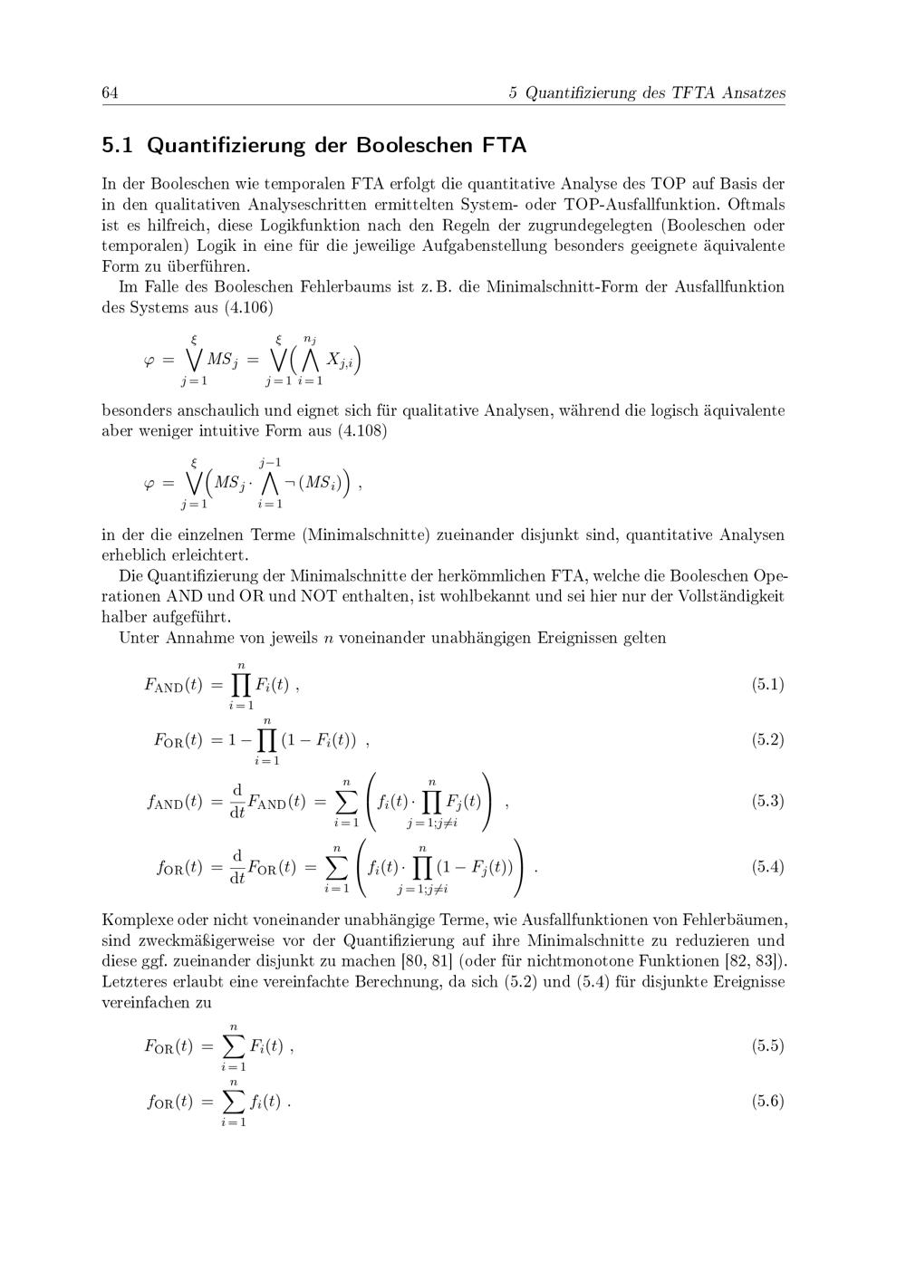
5.1 Quantifizierung der Booleschen FTA
Wird geladen ...
Dissertation
Beitrag zur dynamischen Fehlerbaumanalyse ohne Modulbildung und zustandsbasierte Erweiterungen / von Simon J. Schilling
Entstehung
2009
JPEG-Download
verfügbare Breiten
JPEG groß
JPEG original
Seiten an
Seiten aus