de
en
Schliessen
Detailsuche
Bibliotheken
Projekt
Impressum
Datenschutz
Detailsuche
Schnellsuche:
OK
Ergebnisliste
Titel
Titel
Inhalt
Inhalt
Seite
Seite
Im Dokument suchen
On the properties of the correlation functions of the sl n+1 -invariant model
General definitions
The Yangian Y(g) and the quantum affine algebra Uq()
Introduction
Recent results and the basic idea
The sl2 case
The sl3 case
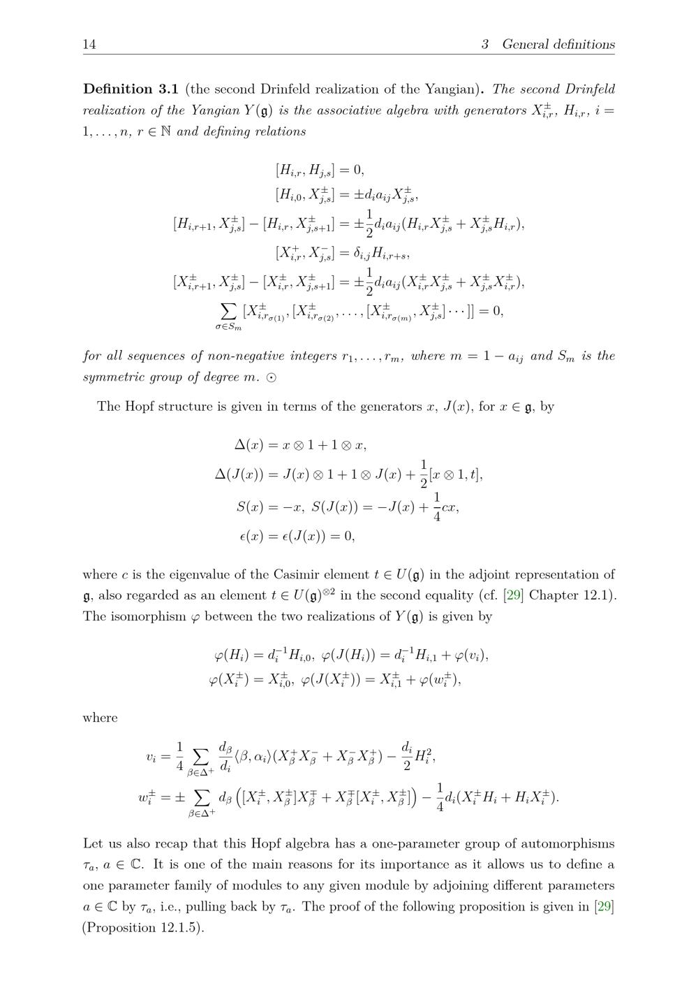
General definitions
Cartan data
The Yangian Y(g) and the quantum affine algebra Uq()
Graphical notation
The rational R-matrix of type An
The dual modules and crossing symmetry
The reduced density matrix of the rational sln+1-invariant model
The construction for sl2
The construction of the residues and the projector identity
T-systems and the Snail Operator k
The construction for higher rank
Projector identities and the construction of the residues for sl3
Extended T-systems and the Snail Operator k
Conclusion
Appendix A
Literature
Acknowledgement
Dissertation
On the properties of the correlation functions of the sl n+1 -invariant model / submitted by Henrik Jürgens
Entstehung
Wuppertal
November 2023
JPEG-Download
verfügbare Breiten
JPEG groß
JPEG original
Seiten an
Seiten aus