de
en
Schliessen
Detailsuche
Bibliotheken
Projekt
Impressum
Datenschutz
Detailsuche
Schnellsuche:
OK
Ergebnisliste
Titel
Titel
Inhalt
Inhalt
Seite
Seite
Im Dokument suchen
Analyse der Flutung unterirdischer Bauwerke in flussnahen urbanen Regionen nach Versagen[...]
IV Ergebnisanalyse
Ergebnisse der numerischen Modellierungen
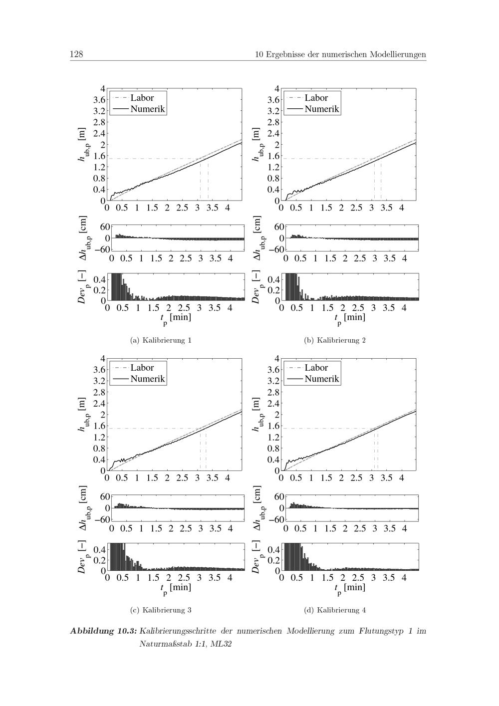
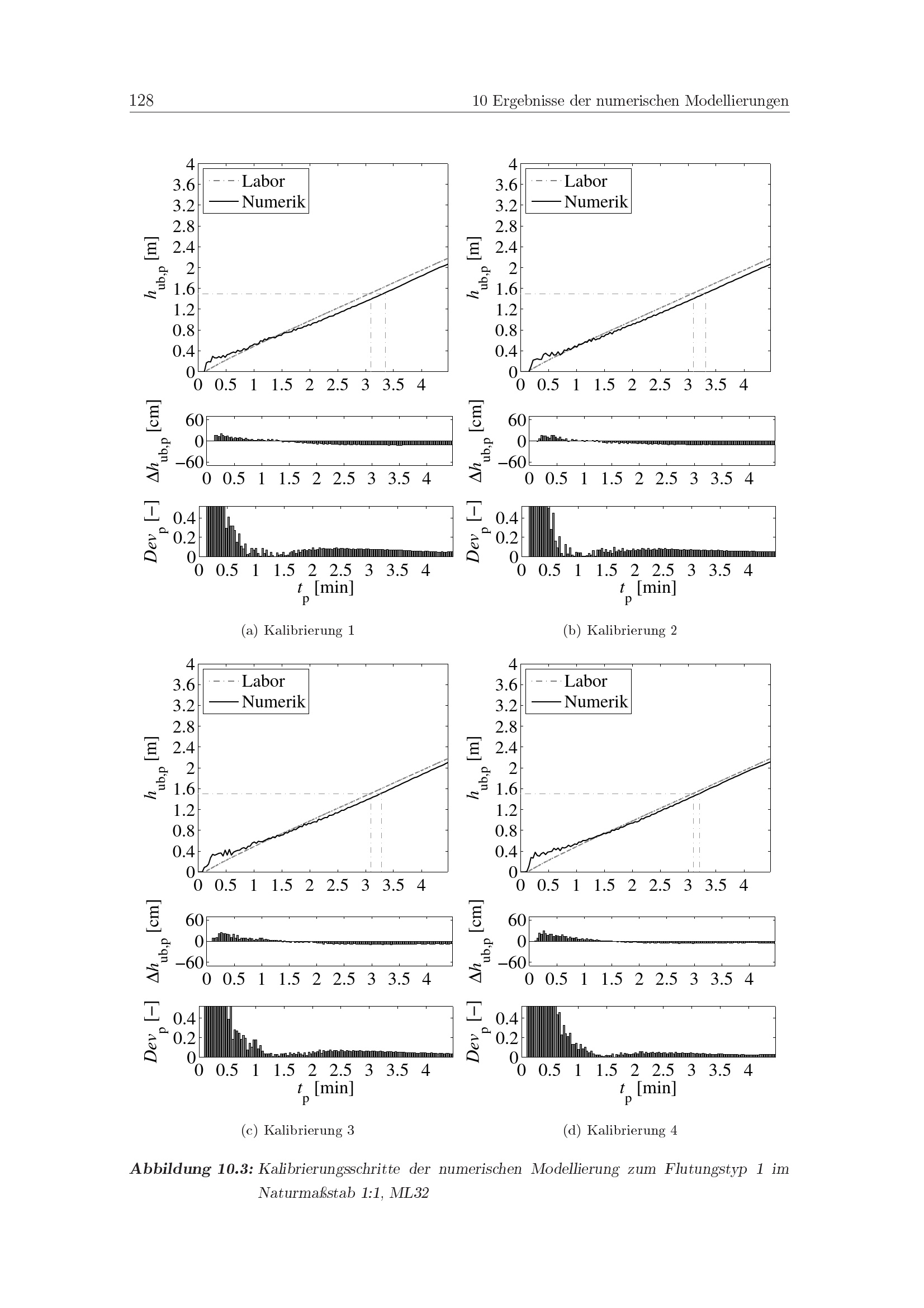
Flutungstyp 1 -- Validierung, Kalibrierung
Anpassung der Gitterauflösung
Wird geladen ...
Dissertation
Analyse der Flutung unterirdischer Bauwerke in flussnahen urbanen Regionen nach Versagen von Hochwasserschutzeinrichtungen / Mario Oertel
Entstehung
Aachen
2008
JPEG-Download
verfügbare Breiten
JPEG groß
JPEG original
Seiten an
Seiten aus