de
en
Schliessen
Detailsuche
Bibliotheken
Projekt
Impressum
Datenschutz
Detailsuche
Schnellsuche:
OK
Ergebnisliste
Titel
Titel
Inhalt
Inhalt
Seite
Seite
Im Dokument suchen
The tree-grid method
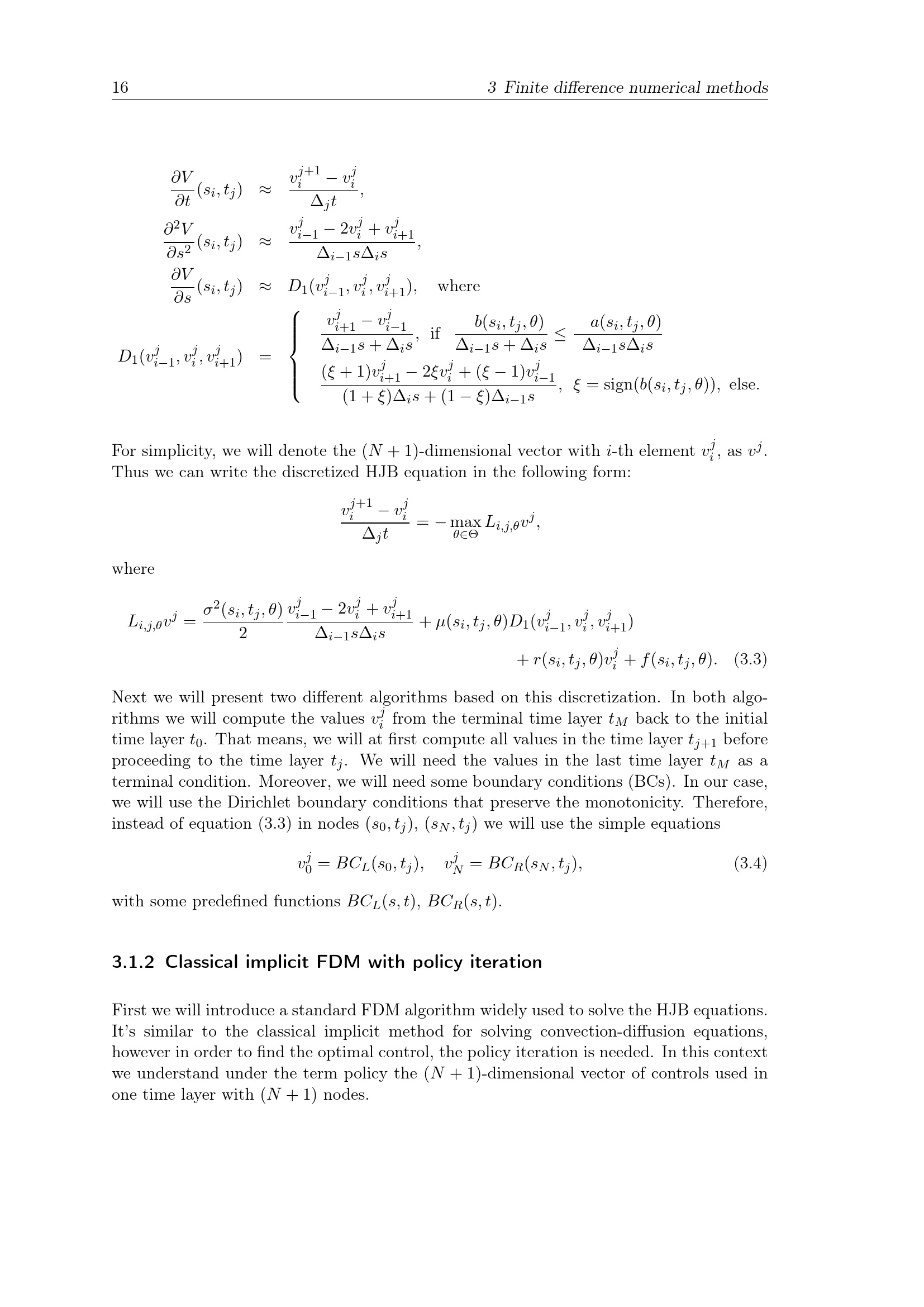
3 Finite difference numerical methods
3.1 Standard finite difference methods
3.1.2 Classical implicit FDM with policy iteration
Wird geladen ...
Dissertation
The tree-grid method / vorgelegt von Igor Kossaczký
Entstehung
Wuppertal
2018
JPEG-Download
verfügbare Breiten
JPEG groß
JPEG original
Seiten an
Seiten aus