de
en
Schliessen
Detailsuche
Bibliotheken
Projekt
Impressum
Datenschutz
Detailsuche
Schnellsuche:
OK
Ergebnisliste
Titel
Titel
Inhalt
Inhalt
Seite
Seite
Im Dokument suchen
Measurement of the W-boson helicity in tt̄ decays
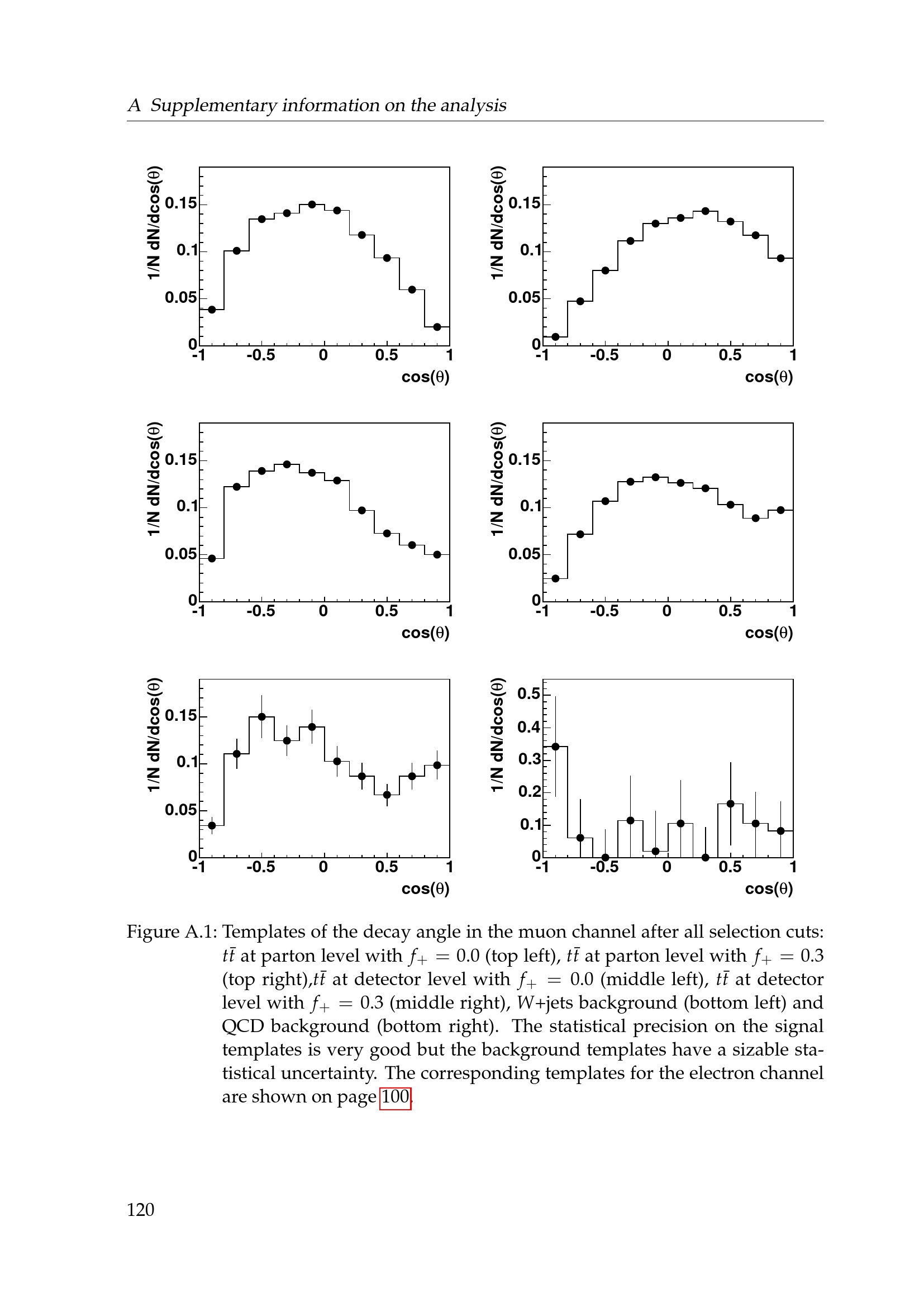
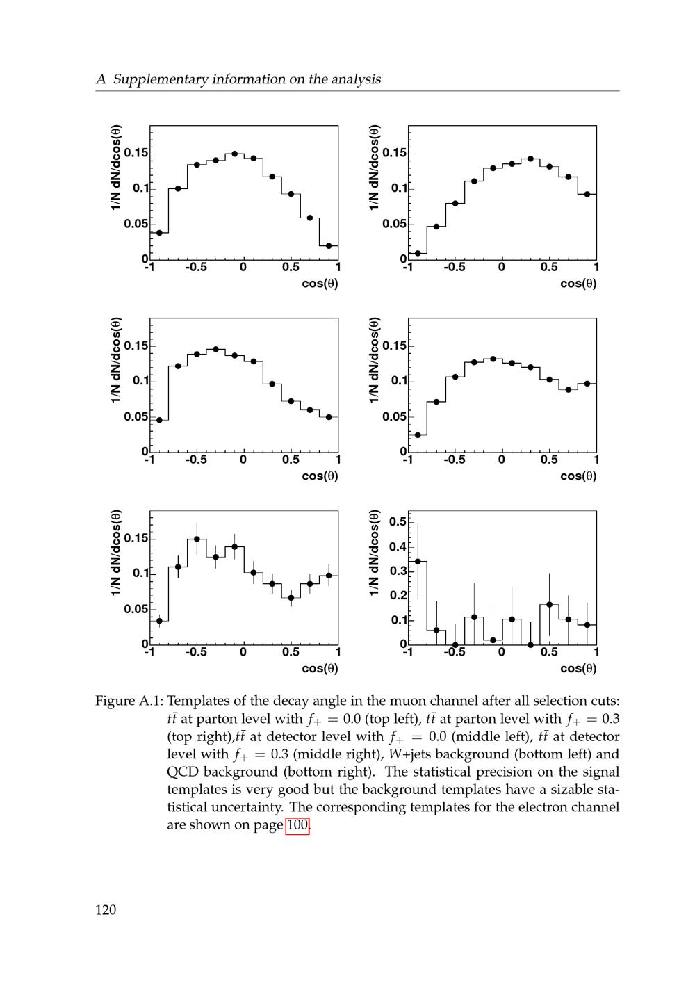
Supplementary information on the analysis
6.²0ÌPð{inzeö¾•ïá!WÿłðÞ
Wird geladen ...
Dissertation
Measurement of the W-boson helicity in tt̄ decays / Christian Schmitt
Entstehung
Wuppertal
2005
JPEG-Download
verfügbare Breiten
JPEG groß
JPEG original
Seiten an
Seiten aus