de
en
Schliessen
Detailsuche
Bibliotheken
Projekt
Impressum
Datenschutz
Detailsuche
Schnellsuche:
OK
Ergebnisliste
Titel
Titel
Inhalt
Inhalt
Seite
Seite
Im Dokument suchen
High-precision lattice QCD
II Application to Standard Model Tests
8 Lattice results
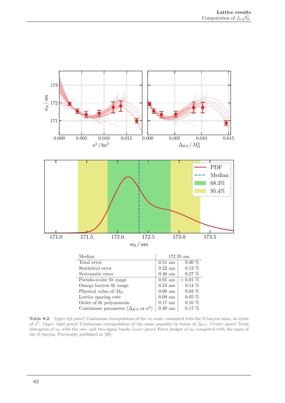
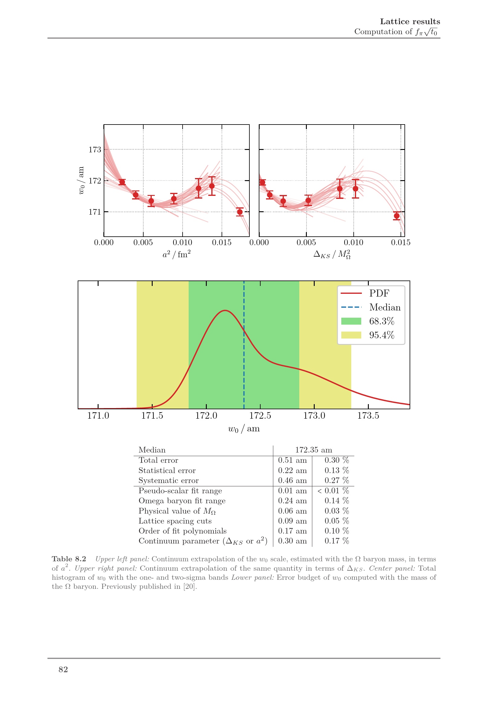
8.4 Computation of tnull
Wird geladen ...
Dissertation
High-precision lattice QCD / von Fabian Justus Frech
Entstehung
Wuppertal
[2025]
JPEG-Download
verfügbare Breiten
JPEG groß
JPEG original
Seiten an
Seiten aus